• Предмет: Алгебра
  • Автор: kyzminovalena14
  • Вопрос задан 2 года назад

Знайдіть область визначення функції​

Приложения:

Аноним: напишите инст, помогу

Ответы

Ответ дал: mlanshychumakov
0

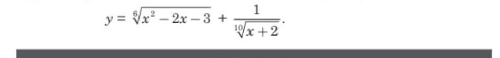
Знайдіть область визначення функції:

y =  \sqrt[6]{ {x}^{2} - 2x - 3 }  +  \frac{1}{ \sqrt[10]{x + 2} }

f (y )=  \sqrt[6]{ {x}^{2} - 2x - 3 }  +  \frac{1}{ \sqrt[10]{x + 2} }

f '(y )=   \frac{d}{dy} (\sqrt[6]{ {x}^{2} - 2x - 3 }  +  \frac{1}{ \sqrt[10]{x + 2} } )

Відповідь:f '(y) = 0

Вас заинтересует