• Предмет: Алгебра
  • Автор: fantomcoder3
  • Вопрос задан 2 года назад

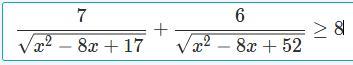
Помогите с ДЗ по алгебре 9 класс!!!

Приложения:

Ответы

Ответ дал: Аноним
0

Ответ:

×+7/8×=1 целая 7/8× .×-7/8×=8/8×-7/8×=1/8×

Объяснение:

если что я 6 класс просто я хорошо знаю алгебру надеюсь помогло


Аноним: надеюсь помог
Вас заинтересует