• Предмет: Алгебра
  • Автор: lakmys11
  • Вопрос задан 1 год назад

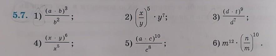
5.7. 1) 4) (a - b)° 6² (x - y) ; 2) 5) .y²; y (a. c)¹0 c8 ; 3) (d. t)⁹ d² 6) m ¹2. n m 10
памагите!!!!​

Приложения:

Ответы

Ответ дал: iramazurk
1

Объяснение:

1)

(a * b)³/b² = (a³ * b³)/b² = (a³ * b)/1 = a³b

2)

(х/у)⁵ * у⁷ = х⁵/у⁵ * у⁷ = х⁵у⁷/у⁵ = х⁵у²/1 = ху²

3)

(d * t)⁹/d⁷ = (d⁹ * t⁹)/d⁷ = (d² * t⁹)/1 = d²t

4)

(х * у)⁶/х⁵ = (х⁶ * у⁶)/х⁵ = (х * у⁶)/1 = ху

5)

(а * с)¹⁰/с⁸ = (а¹⁰ * с¹⁰)/с⁸ = (а¹⁰ * с²)/1 = а¹с²

6)

m¹² * (n/m)¹⁰ = m¹² * (n¹⁰/m¹⁰) = (m¹² * n¹⁰)/m¹⁰ =

(m² * n¹⁰)/1 = m²n¹

Вас заинтересует