Ответы
Ответ дал:
0
Відповідь:
Чтобы перевести десятичную дробь в обыкновенную, необходимо выполнить три шага:
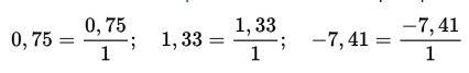
- Переписать исходную дробь в виде новой дроби: в числителе останется исходная десятичная дробь, а в знаменателе нужно поставить единицу. При этом знак исходного числа также помещается в числитель. Например: (рисунок 1)
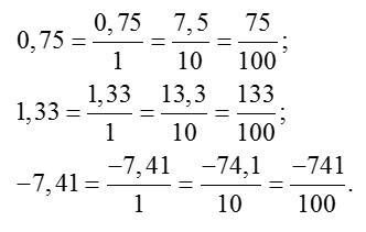
- Умножаем числитель и знаменатель полученной дроби на 10 до тех пор, пока в числителе не исчезнет запятая. Напомню: при каждом умножении на 10 запятая сдвигается вправо на один знак. Разумеется, поскольку знаменатель тоже умножается, там вместо числа 1 будут появляться 10, 100 и т.д. Примеры: (рисунок 2)
- Наконец, сокращаем полученную дробь по стандартной схеме: делим числитель и знаменатель на те числа, которым они кратны. Например, в первом примере 0,75=75/100, при этом и 75, и 100 делятся на 25. Поэтому получаем (рисунок 3).
Приложения:



Вас заинтересует
1 год назад
1 год назад
1 год назад
2 года назад
8 лет назад
8 лет назад