• Предмет: Алгебра
  • Автор: nyv9dw4crq
  • Вопрос задан 2 года назад

ПОМОГИТЕ ПОЖАЛУЙСТА

Приложения:

Ответы

Ответ дал: TheDeformaZz
1

Ответ:

1) x = -4

2) x∈∅

Объяснение:

======================

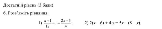
1) (x + 1)/12 - 1 = (2x + 3)/4

приведём дроби к общему знаменателю, в нашем случае к 12

(x + 1)/12 - 12/12 = 3(2x + 3)/12

теперь перенесём всё в левую часть под один знаменатель и раскроем скобки

(x + 1 - 12 - 6x - 9)/12 = 0

приведём подобные

(-5x - 20)/12 = 0 | *12

-5x - 20 = 0

-5x = 20

x = 20/(-5)

x = -4

-------------------------------------

2) 2(x - 6) + 4x = 5x - (8 - x)

раскроем скобки

2x - 12 + 4x = 5x - 8 + x

перенесём всё в левую часть

2x - 12 + 4x - 5x + 8 - x = 0

приведём подобные

-4 = 0

равенство неверно, отсюда x∈∅

======================

Вас заинтересует