• Предмет: Алгебра
  • Автор: sagdiana00333
  • Вопрос задан 2 года назад

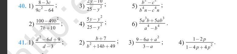
Помогите пожалуйста!!!!!

Приложения:

Ответы

Ответ дал: priler99
1

Відповідь:

Буду вдячний за хорошу оцінку

Приложения:
Вас заинтересует