• Предмет: Алгебра
  • Автор: katyasemechko
  • Вопрос задан 2 года назад

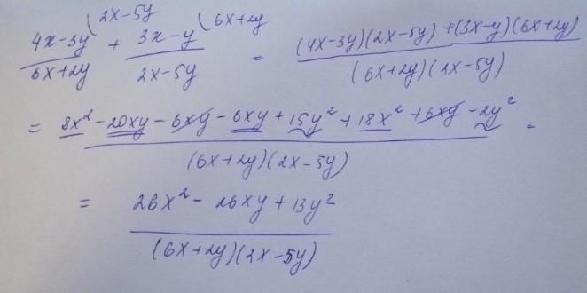
помогите пж задание в фото ​

Приложения:

Ответы

Ответ дал: vladlemis228
0

^^^^^^^^^^^^

||||||||||||||||||||||||||

Это A1:

Ответ: 1.

Это A2:

((1/5 - 3(- 4/5)) ^ 2)/(2(6 * 1/5 * (- 4/5))) * ((1/5 + 3(- 4/5)) ^ 2)/(3(- 4/5 - 6 - 1/5)) * (14 * 1/5 * (- 4/5) - 4 * (- 4/5) ^ 2)/(3(6 * 1/5 * (- 4/5)))

((13/5) ^ 2)/(2 * 2) + ((- 11/5) ^ 2)/(3(- 2)) + (- 56/25 - 4 * 16/25)/(3 * 2)

(169/25)/(2 * 2) - (121/25)/(3 * 2) + (- 56/25 - 64/25)/6

Короче ответ: 1.

Приложения:
Вас заинтересует