Ответы
Ответ дал:
1
Ответ:
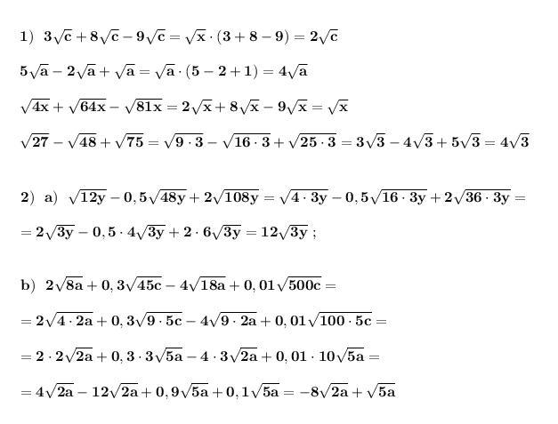
Преобразовать выражения, содержащие квадратные корни .
Разложить на множители . Применяем формулу разности квадратов :
.
Приложения:


Вас заинтересует
1 год назад
1 год назад
1 год назад
2 года назад
8 лет назад