Ответы
Ответ дал:
0
Решим неравенства по очереди:
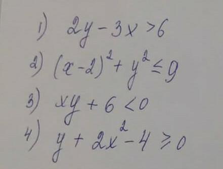
1) 2у - 3х > 6
Для начала, перенесем все члены в левую часть неравенства:
2у - 3х - 6 > 0
2) (Х-2)^2 + у^2 < 9
Раскроем квадрат и приведем к общему виду:
x^2 - 4x + 4 + у^2 < 9
x^2 - 4x + у^2 - 5 < 0
3) Ху + 6 < 0
4) У + 2х^2 - 4 > 0
Теперь, давайте решим каждое неравенство по отдельности:
1) 2у - 3х - 6 > 0
Это неравенство не может быть решено без знания значений переменных x и y.
2) x^2 - 4x + у^2 - 5 < 0
Это неравенство представляет собой уравнение окружности с центром в точке (2, 0) и радиусом sqrt(5). Решение будет зависеть от диапазона значений переменных x и y.
3) Ху + 6 < 0
Учитывая это неравенство, мы можем сделать вывод, что х и у должны иметь разные знаки.
4) У + 2х^2 - 4 > 0
Это неравенство не может быть решено без знания значений переменных x и y.
В итоге, для полного решения данных неравенств, необходимо знать более конкретные значения переменных x и y.
1) 2у - 3х > 6
Для начала, перенесем все члены в левую часть неравенства:
2у - 3х - 6 > 0
2) (Х-2)^2 + у^2 < 9
Раскроем квадрат и приведем к общему виду:
x^2 - 4x + 4 + у^2 < 9
x^2 - 4x + у^2 - 5 < 0
3) Ху + 6 < 0
4) У + 2х^2 - 4 > 0
Теперь, давайте решим каждое неравенство по отдельности:
1) 2у - 3х - 6 > 0
Это неравенство не может быть решено без знания значений переменных x и y.
2) x^2 - 4x + у^2 - 5 < 0
Это неравенство представляет собой уравнение окружности с центром в точке (2, 0) и радиусом sqrt(5). Решение будет зависеть от диапазона значений переменных x и y.
3) Ху + 6 < 0
Учитывая это неравенство, мы можем сделать вывод, что х и у должны иметь разные знаки.
4) У + 2х^2 - 4 > 0
Это неравенство не может быть решено без знания значений переменных x и y.
В итоге, для полного решения данных неравенств, необходимо знать более конкретные значения переменных x и y.
Вас заинтересует
1 год назад
1 год назад
2 года назад
2 года назад
3 года назад
8 лет назад
8 лет назад