• Предмет: Алгебра
  • Автор: ksuksukseniia
  • Вопрос задан 2 года назад

Допоможіть, будь ласка, з номером 197, даю 15 балів

Приложения:

Ответы

Ответ дал: vareni4ka
1

Ответ:

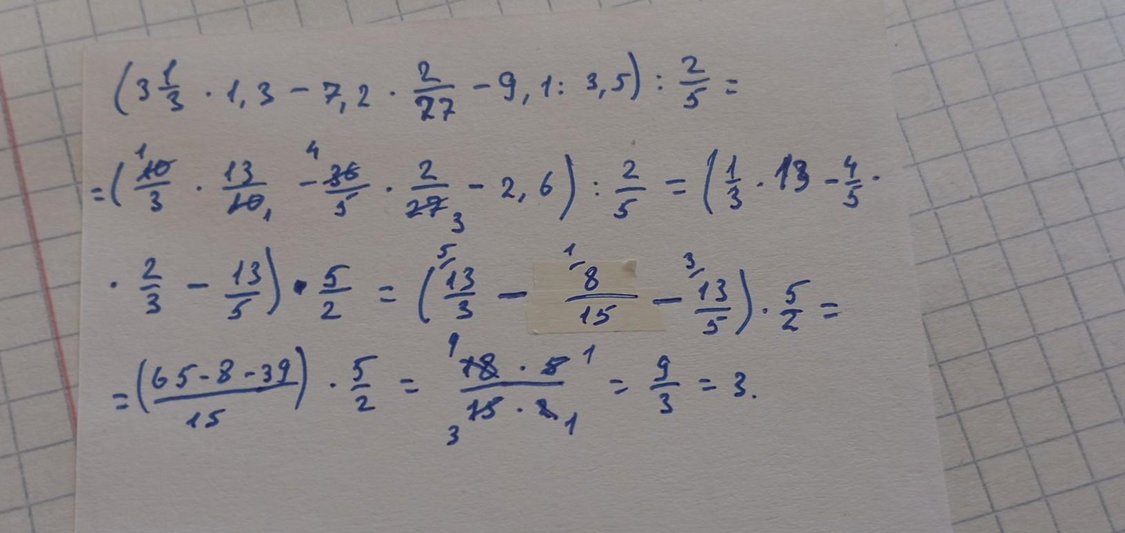
держи

Объяснение:

указано все на фото

Приложения:
Вас заинтересует