• Предмет: Математика
  • Автор: GFGFGDFGF
  • Вопрос задан 1 год назад

.........................................................................

Приложения:

Ответы

Ответ дал: melissaeken210
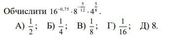
1

B) 1/8

................. отметьте, как лучший ответ, если не сложно:)

Вас заинтересует