Ответы
Ответ дал:
2
Ответ:
Это первое второе не решается я не понел как сделать сори
Приложения:

Ответ дал:
1
Відповідь:
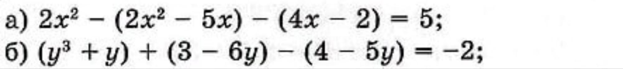
1)2x-2x²+5x-4x+2=5
х+2=5
х=5-2=3
2)y³+y+3-6y-4+5y=-2
y³-1=-2
y³=-1
y=-1
Вас заинтересует
1 год назад
1 год назад
1 год назад
2 года назад
2 года назад