Ответы
Ответ дал:
1
Ответ:
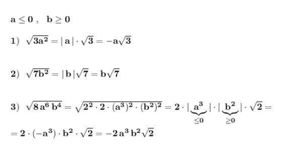
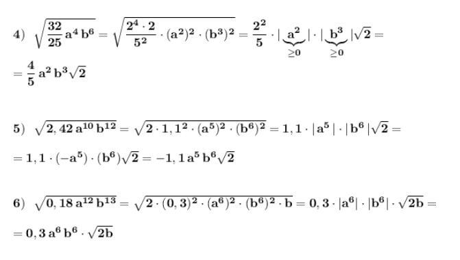
Правило извлечения квадратного корня : ,
Запишем подкоренное выражение в виде квадрата выражения , а затем извлечём корень . Учтём, положительное или отрицательное выражение получим под знаком модуля .
Приложения:



luzginkirill2010:
Спа
Вас заинтересует
1 год назад
1 год назад
1 год назад
1 год назад
2 года назад
2 года назад
8 лет назад