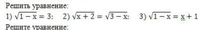
Ответы
Ответ дал:
0
я все вирішила я надеюсь що я тобі помогла
Приложения:



Вас заинтересует
1 год назад
1 год назад
2 года назад
2 года назад