• Предмет: Математика
  • Автор: maximdudnik2006
  • Вопрос задан 1 год назад

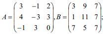
Сделать двумя методами, методом Крамера и Гаусса ( Матрица )

Приложения:

Ответы

Ответ дал: injuzhaniya
1

Ответ:

Верно это или нет я не знаю

Приложения:
Вас заинтересует