• Предмет: Математика
  • Автор: irinadudich123
  • Вопрос задан 1 год назад

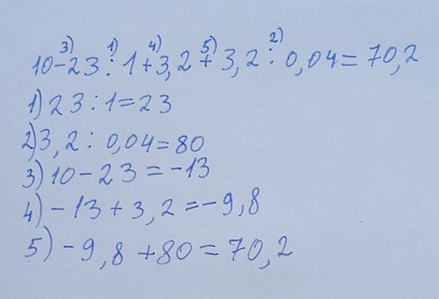
6. Обчисли значення виразу. (10-23:1+3.2 +3,2:0,04​

Ответы

Ответ дал: annpavlenko23
2

Ответ:

все написано на фото зверху

Приложения:
Вас заинтересует