Ответы
Ответ дал:
0
Ответ:
Відповідь на фото
надіюсь допоміг
Приложения:

Ответ дал:
0
Пошаговое объяснение:
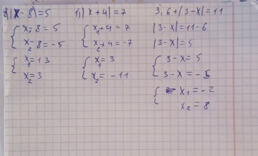
а)
|х + 4| = 7
1)
х + 4 = -7
х = -7 - 4
х1 = -11
2)
х + 4 = 7
х = 7 - 4
х2 = 3
б)
|х - 8| = 5
1)
х - 8 = -5
х = -5 + 8
х1 = 3
2)
х - 8 = 5
х = 5 + 8
х2 = 13
в)
6 + |3 - х| = 11
|3 - х| = 11 - 6
|3 - х| = 5
1)
3 - х = -5
х = 3 - (-5)
х = 3 + 5
х1 = 8
2)
3 - х = 5
х = 3 - 5
х2 = -2
Вас заинтересует
1 год назад
1 год назад
1 год назад
1 год назад
2 года назад
2 года назад