• Предмет: Математика
  • Автор: pivasik05
  • Вопрос задан 2 года назад

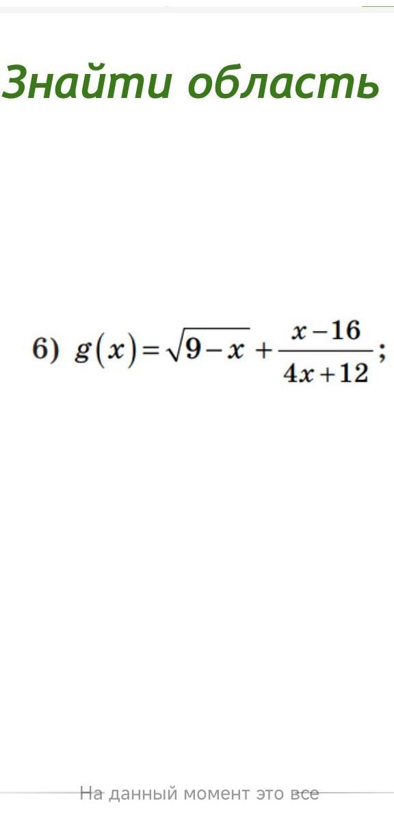
Знайти область визначення функції ​

Приложения:

Ответы

Ответ дал: qazx56
0
6)g(x)=‘\/‘9-x+x-16
…………………———-
…………………4x+12
Вас заинтересует