• Предмет: Математика
  • Автор: emiltahmazov793
  • Вопрос задан 2 года назад

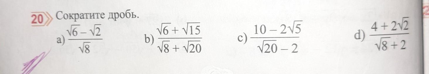
Решите Срочно!!!!!!

Приложения:

Ответы

Ответ дал: m24222596
1

это задание 8 класса да?)

заранее прощу извинения за почерк

Приложения:

emiltahmazov793: да 8 класс спасибо огромное
m24222596: пожалуйста ✌
Вас заинтересует