Ответы
Ответ дал:
1
Ответ:
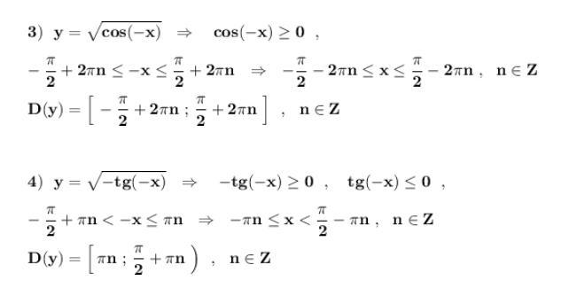
Область определения функции ( ООФ ) .
Подкоренное выражение должно быть неотрицательным .
Так как период можно прибавлять или отнимать , то можно записать
Приложения:


zvaginzahar9:
спасибо ток уже поздно
Вас заинтересует
1 год назад
1 год назад
1 год назад
2 года назад
2 года назад