• Предмет: Математика
  • Автор: uIia4547
  • Вопрос задан 2 года назад

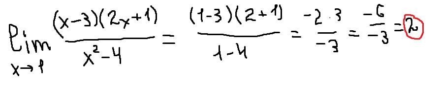
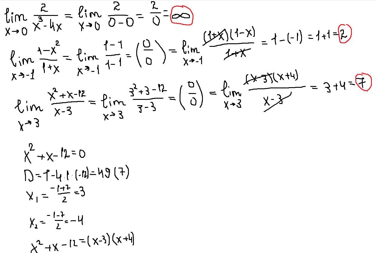
Кто в математике шарит помогите пж

Приложения:

Ответы

Ответ дал: TheDeformaZz
0

Ответ:

Решение прикрепил.

Приложения:
Вас заинтересует