• Предмет: Алгебра
  • Автор: ellysos
  • Вопрос задан 10 лет назад

ОЧЕНЬ СРОЧНО
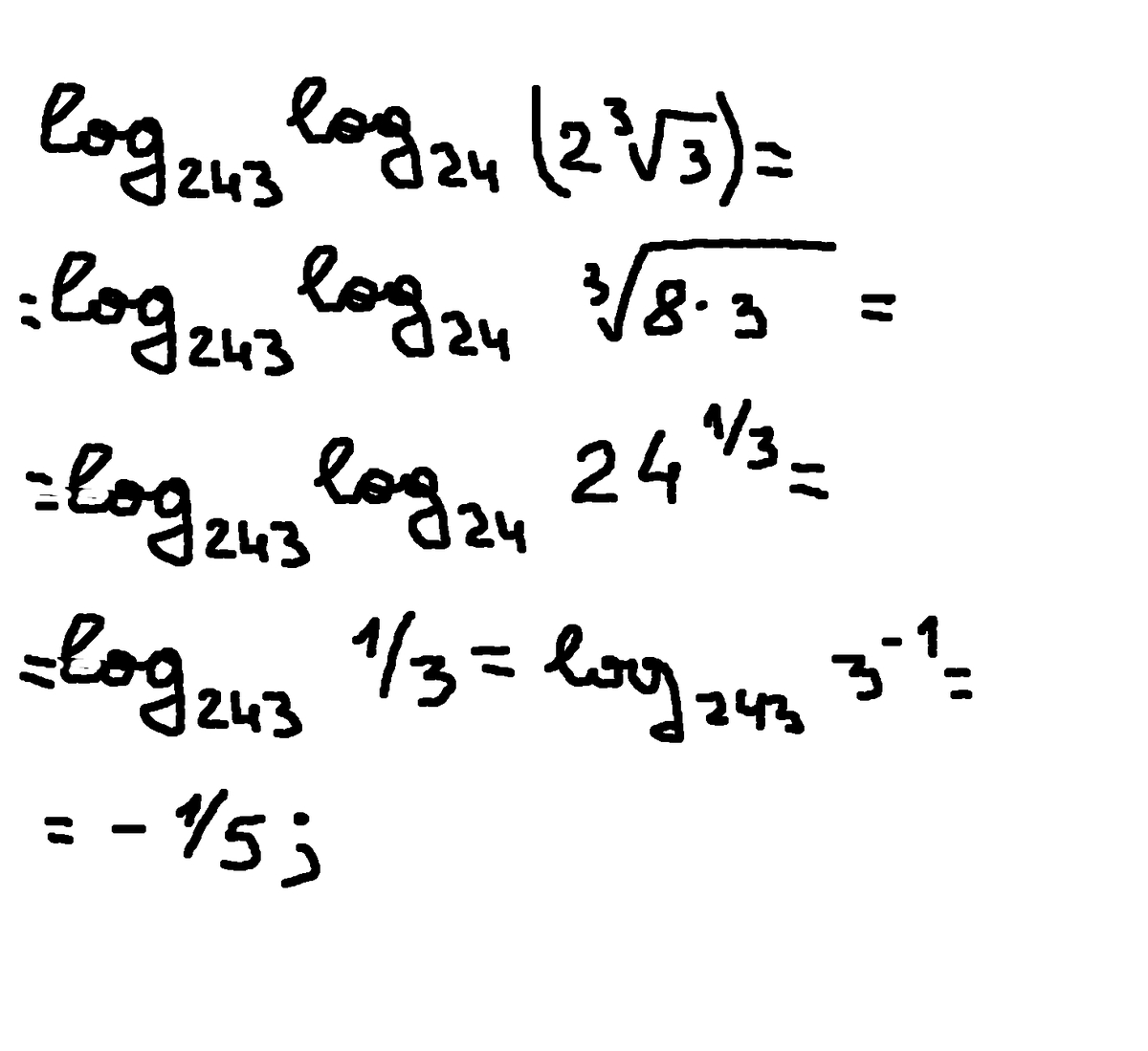
 log_{243}  log_{24} (2 sqrt[3]{3} )

Ответы

Ответ дал: MashaKlimova
0
решение вашего задания во вложении

Приложения:
Ответ дал: ellysos
0
спасибо!!!;))
Вас заинтересует