• Предмет: Алгебра
  • Автор: dragonfase16
  • Вопрос задан 2 года назад

Объясните пример пожалуйста

Приложения:

Ответы

Ответ дал: ordabayanel
1

Ответ:

x⁴;x⁴⁰;5_1³;x⁶

Объяснение:

ну когда цифры будут в скобках,нужно степень дать каждому,например (7⁵5⁷)⁹ тогда будет 7⁴⁵5⁶³,так как когда степени цифры будут в скобках или без,нужно умножить степень друг к другу.(надеюсь понятно,не очень знаю русский,я старалась) пожалуйста лучший ответ

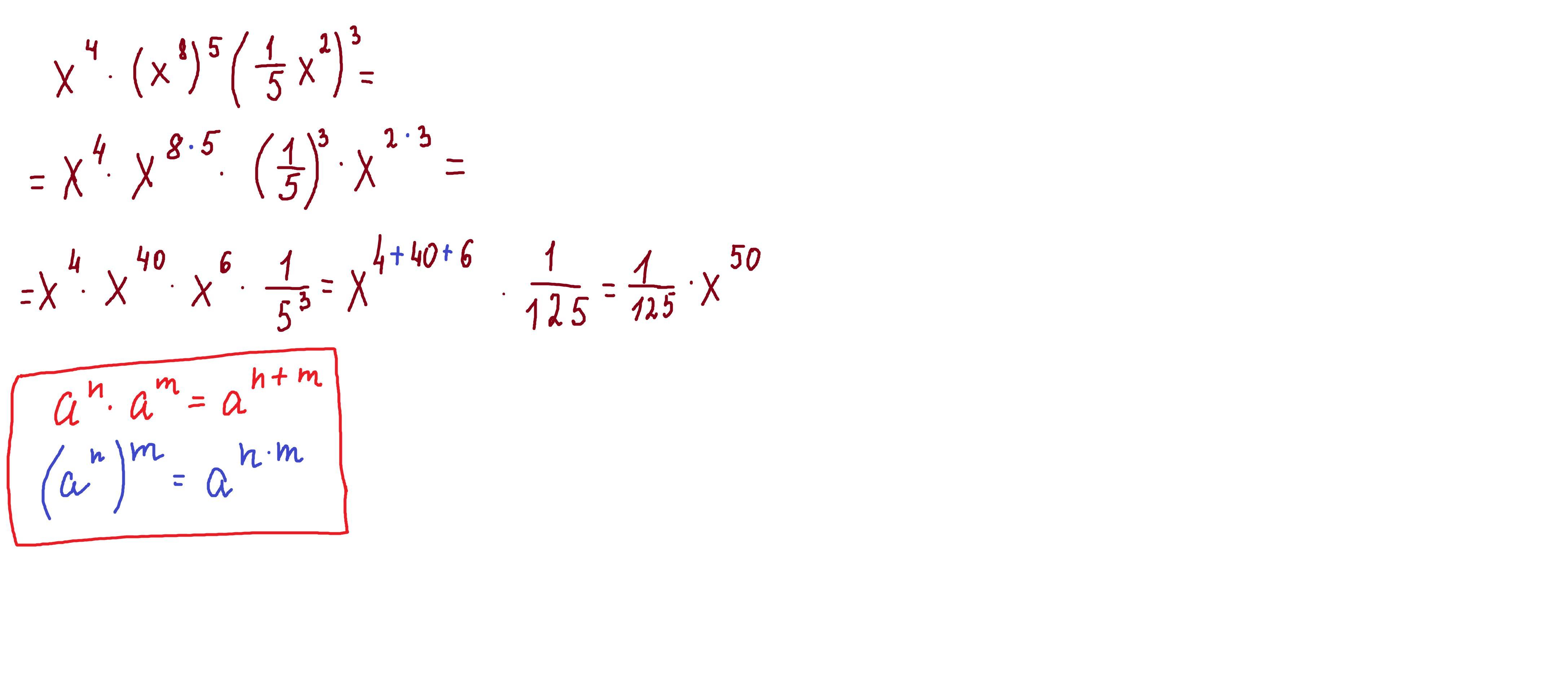
Ответ дал: parus77
1

Ответ:

1/125  Х⁵⁰

Объяснение:

надо применять св-ва степеней с одинаковым основанием

при возведении степени в степень показатели перемножаются

при умножении степеней с одинаковым основанием показатели складываются

полное решение примера внизу,где не понятно-спрашивайте

Приложения:
Вас заинтересует