Ответы
Ответ дал:
0
Ответ:
Решение прикрепил.
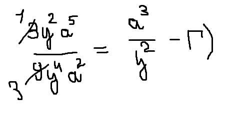
При делении дробей с одинаковым основанием показатели вычитаются.
Приложения:

Вас заинтересует
1 год назад
1 год назад
1 год назад
2 года назад
8 лет назад