• Предмет: Алгебра
  • Автор: sopkhaaa19
  • Вопрос задан 2 года назад

Помогите пожалуйста!!!!!!!!!!!

Приложения:

Ответы

Ответ дал: Universalka
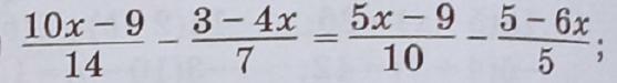
1

\displaystyle\bf\\\frac{10x-9}{14} -\frac{3-4x}{7} =\frac{5x-9}{10} -\frac{5-6x}{5} \\\\\\\frac{10x-9}{14} \cdot 70-\frac{3-4x}{7} \cdot 70=\frac{5x-9}{10} \cdot 70-\frac{5-6x}{5}\cdot 70\\\\\\(10x-9)\cdot5-(3-4x)\cdot10=(5x-9)\cdot7-(5-6x)\cdot14\\\\\\50x-45-30+40x=35x-63-70+84x\\\\\\90x-75=119x-133\\\\\\119x-90x=133-75\\\\\\29x=58\\\\\\\boxed{x=2}

Вас заинтересует