Ответы
Ответ дал:
0
Ответ:
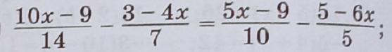
за тем вычислить ч
х, он равен 2
в итоге мы получим 2х
Приложения:

Вас заинтересует
1 год назад
1 год назад
1 год назад
2 года назад
2 года назад
8 лет назад