• Предмет: Алгебра
  • Автор: l38890519
  • Вопрос задан 2 года назад

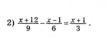
2) x + 12 _ x-1 _ x+1. 9 6 3​

Приложения:

Ответы

Ответ дал: friendlyhouse829
1

Ответ:

(Х + 12) / 9 - (Х - 1) / 6 = (Х + 1) / 3

Объяснение:

если нужно решение, то вот

2 (Х + 12) - 3 (Х - 1) = 6 (Х + 1)

2 х + 24 - 3 х + 3 = 6 х + 6

- Х + 27 = 6 х + 6

7 х = 21

Х = 3


l38890519: спасибі
Вас заинтересует