Зведіть одночлени до стандартного вигляду укажіть його кофіціент і степінь - 4m³c * 7mc

Ответы
Відповідь:
Щоб звести одночлени до стандартного вигляду, потрібно об'єднати подібні члени, які мають однакові базові показники (літери та їх ступені). У цьому випадку, ми маємо два одночлени:
4
�
3
�
4m
3
c та
7
�
�
7mc.
Спочатку об'єднаємо їх:
4
�
3
�
+
7
�
�
4m
3
c+7mc
Тепер, враховуючи, що
�
3
m
3
має вищий ступінь, ніж
�
m, і
�
c не має жодного показника (що означає
�
1
c
1
), отримуємо:
4
�
3
�
+
7
�
�
=
4
�
3
�
1
+
7
�
1
�
1
4m
3
c+7mc=4m
3
c
1
+7m
1
c
1
Тепер у нас обидва члени мають однакові базові показники.
Коефіціент перед
�
3
m
3
- 4
Ступінь
�
3
m
3
- 3
Коефіціент перед
�
�
mc - 7
Ступінь
�
�
mc - 1
Отже, стандартний вигляд виразу
4
�
3
�
+
7
�
�
4m
3
c+7mc є:
4
�
3
�
+
7
�
�
4m
3
c+7mc
Коефіціент перед
�
3
m
3
- 4
Ступінь
�
3
m
3
- 3
Коефіціент перед
�
�
mc - 7
Ступінь
�
�
mc - 1
Пояснення:
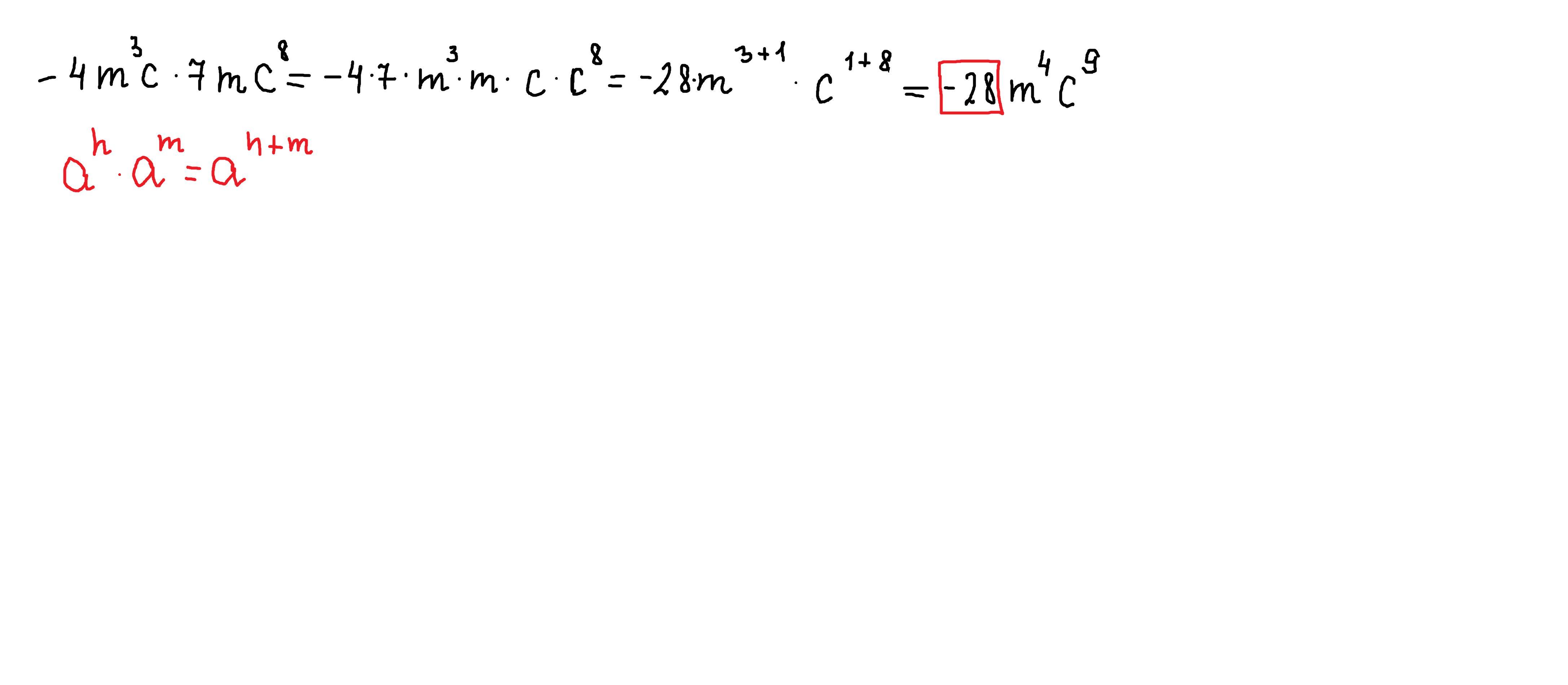
Ответ:
коэффициент -28 степень многочлена 13 ( 4+9=13 сумма степеней переменных)
Объяснение:
