• Предмет: Математика
  • Автор: mjrjrj8273838jdnehm
  • Вопрос задан 2 года назад

помогите решить срочно даю 50 баллов​

Приложения:

Ответы

Ответ дал: TheDeformaZz
1

Ответ:

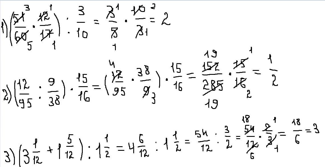
Решение прикрепил.

Приложения:
Вас заинтересует