• Предмет: Алгебра
  • Автор: matvey4ik24k
  • Вопрос задан 2 года назад

Помогите пожалуйста
Даю 40 баллов
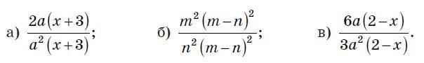
Все на фото, надо скоротити дріб

Приложения:

matvey4ik24k: Помогите
Аноним: напишіть свій інст, там допоможу з вирішенням
matvey4ik24k: matvey_mamonow

Ответы

Ответ дал: NNNLLL54
0

Ответ:

Сократить  дроби . Выделяем одинаковые множители в числители и знаменателе дроби и сокращаем их .  

\displaystyle \bf 1)\ \ \frac{4}{18}=\frac{2\cdot 2}{2\cdot 9}=\frac{2}{9}\ \ \ ,\ \ \ \frac{120}{40}=\frac{40\cdot 3}{40}=3\ \ \ ,\ \ \ \frac{15}{15}=1\ \ \ ,\\\\\\\frac{3,6}{12}=\frac{36}{120}=\frac{12\cdot 3}{12\cdot 10}=\frac{3}{10}=0,3    

\displaystyle \bf 2)\ \ \frac{6a^2}{12a^3}=\frac{6a^2}{6a^2\cdot 2a}=\frac{1}{2a}\ \ \ ,\ \ \ \frac{3c}{15c^4}=\frac{3c}{3c\cdot 5c^3}=\frac{1}{5c^3}\ \ ,\\\\\\\frac{7b^3}{14b^3}=\frac{7b^3}{7b^3\cdot 2}=\frac{1}{2}=0,5\ \ \ ,\ \ \ \frac{18}{9a^2x}=\frac{9\cdot 2}{9\cdot a^2x}=\frac{2}{a^2x}  

\displaystyle \bf 3)\ \ \frac{2a\, (x+3)}{a^2\, (x+3)}=\frac{a\, (x+3)\cdot 2}{a\, (x+3)\cdot a}=\frac{2}{a}\ \ ,\ \ \ \frac{m^2\, (m-n)^2}{n^2\, (m-n)^2}=\frac{m^2}{n^2}=\Big(\frac{m}{n}\Big)^2\ \ ,\\\\\\\frac{6a\, (2-x)}{3a^2\, (2-x)}=\frac{3a\, (2-x)\cdot 2}{3a\, (2-x)\cdot a}=\frac{2}{a}        

Приложения:
Вас заинтересует