• Предмет: Математика
  • Автор: kiwiws202
  • Вопрос задан 2 года назад

помогите пожалуйста. отдаю все баллы. спасибо!

Приложения:

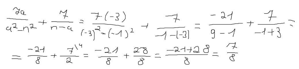
jekadva: ответ: 0,875
kiwiws202: спасибо!!!

Ответы

Ответ дал: mkorobchenko21
0

Ответ:

Пошаговое объяснение:

Приложения:
Вас заинтересует