• Предмет: Алгебра
  • Автор: liliya19749299484
  • Вопрос задан 2 года назад

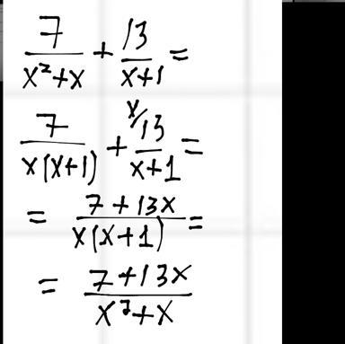
B)
7
13
2
x²+x x+1
+

Приложения:

Ответы

Ответ дал: kseniiaiso
1
Рішення на фотографії
Приложения:
Вас заинтересует