• Предмет: Алгебра
  • Автор: Танькаа
  • Вопрос задан 10 лет назад

подскажите как решить логарифмическое неравенство

Приложения:

Ответы

Ответ дал: Minsk00
0
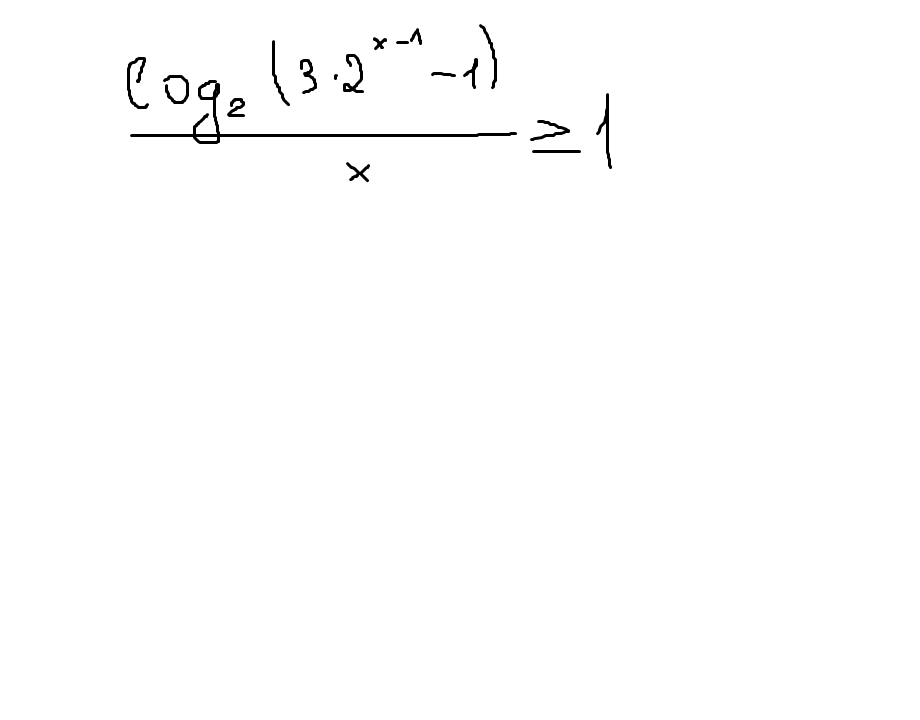
log2(3*2^(x-1)-1)/x ≥1
 ОДЗ: x≠0  3*2^(x-1)-1 > 0 или x>log2(2/3) = 1-log2(3) ≈ -0,585
 
 log2(3*2^(x-1)-1)/log2(2^x)  - 1 ≥ 0
 (log2(3*2^(x-1)-1) - log2(2^x))/log2(2^x) ≥ 0
 Данное неравенство распадается на две системы неравенств
 {log2(3*2^(x-1) - 1) - log2(2^x)≥0                    {log2(3*2^(x-1)-1)-log2(2^x)≤0
 {x > 0                                                                  {x<0
 
 {log2(3*2^(x-1)-1) ≥ log2(2^x)                          {log2(3*2^(x-1)-1) ≤ log2(2^x)
 {x > 0                                                                   {x<0
 
 {3*2^(x-1)-1 ≥ 2^x                                              {3*2^(x-1)-1 ≤ 2^x
 {x > 0                                                                  {x<0
 
 {1,5*2^x -1 - 2^x ≥ 0                                         {1,5*2^x -1 -2^x ≤ 0
 {x > 0                                                                  {x<0
 
 {0,5*2^x -1 ≥ 0                                                  {0,5*2^x -1 ≤ 0
 {x > 0                                                                 {x<0
 
 {2^x ≥ 2                                                              {2^x ≤ 2
 {x > 0                                                                  {x<0
 
 {x ≥ 1                                                                  {x ≤ 1
 {x > 0                                                                  {x<0
 
Первое неравенство имеет решение x∈[1;+oo)
Второе неравенство учитывая ОДЗ имеет решение x∈(log2(2/3);0)
Поэтому исходное неравенство имеет решения для всех значений
x ∈ (log2(2/3);0)U[1;+oo)
Ответ (log2(2/3);0)U[1;+oo)
Вас заинтересует