• Предмет: Алгебра
  • Автор: turganbaituka2008
  • Вопрос задан 1 год назад

Надо найти
f(f(x)=?
f(g(x)=?
g(g(x)=?
g(f(x)=?

Приложения:

Ответы

Ответ дал: Alnadya
0

Решение.

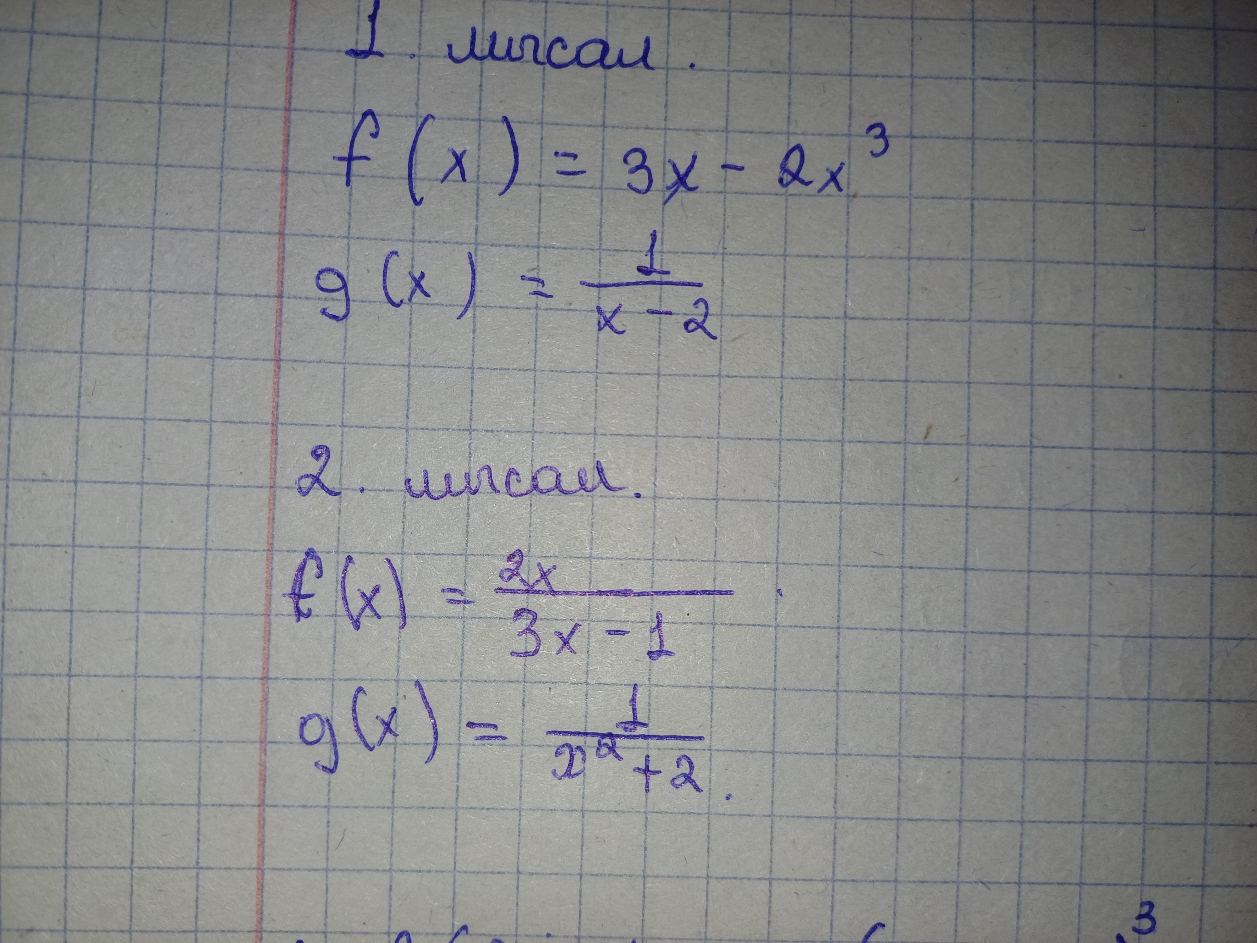
1)  Известны функции :   \bf f(x)=3x-2x^3\ \ ,\ \ g(x)=\dfrac{1}{x-2}  .

Чтобы найти  f(g(x)) , надо в выражение для функции  f(x)  всюду вместо  х  подставить g(x) .

\bf f(g(x))=3\cdot g(x)-2\cdot (g(x))^3=3\cdot \dfrac{1}{x-2}-2\cdot \dfrac{1}{(x-2)^3}=\dfrac{3\, (x-2)^2-2}{(x-2)^3} =\\\\\\=\dfrac{3(x^2-4x+4)-2}{(x-2)^3}=\dfrac{3x^2-12x+10}{(x-2)^3}  

Остальные примеры делаются аналогично .

\bf f(f(x))=3\cdot f(x)-2\cdot (f(x))^3=3\cdot (3x-2x^3)-2\cdot (3x-2x^3)^3=\\\\=(3x-2x^3)\cdot (3-2(3x-2x^3)^2)=(3x-2x^3)\cdot (3-2(9x^2-12x^4+4x^6)=\\\\=(3x-2x^3)(3-18x^2+24x^4-8x^6)

\bf g(g(x))=\dfrac{1}{g(x)-2}=\dfrac{1}{\dfrac{1}{x-2}-2}=\dfrac{x-2}{5-2x}\\\\\\g(f(x))=\dfrac{1}{f(x)-2}=\dfrac{1}{3x-2x^3-2}    

\bf 2)\ \ f(x)=\dfrac{2x}{3x-1}\ \ ,\ \ \ g(x)=\dfrac{1}{x^2+2}\\\\\\f(g(x))=\dfrac{2\, g(x)}{3\, g(x)-1}=\dfrac{2\cdot \dfrac{1}{x^2+2}}{3\cdot \dfrac{1}{x^2+2}-1}=\dfrac{2}{3-x^2-2}=\dfrac{2}{1-x^2}\\\\\\f(f(x))=\dfrac{2\, f(x)}{3\, f(x)-1}=\dfrac{\dfrac{4x}{3x-1}}{\dfrac{6x}{3x-1}-1}=\dfrac{4x}{3x+1}\\\\\\g(g(x))=\dfrac{1}{(g(x))^2+2}=\dfrac{1}{\dfrac{1}{(x^2+2)^2}+2}=\dfrac{(x^2+2)^2}{1+2(x^2+2)^2}=\dfrac{x^4+4x^2+4}{2x^4+8x^2+9}

\bf g(f(x))=\dfrac{1}{(f(x))^2+2}=\dfrac{1}{\dfrac{4x^2}{(3x-1)^2}+2}=\dfrac{(3x-1)^2}{4x^2+2(3x-1)^2}=\\\\\\=\dfrac{9x^2-6x+1}{22x^2-12x+2}  

Вас заинтересует