• Предмет: Алгебра
  • Автор: Аноним
  • Вопрос задан 2 года назад

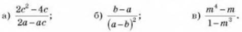
будь ласка допоможіть мені

Приложения:

Ответы

Ответ дал: ZB33R
1

Объяснение:

сократите дробь, выносите знак минуса за скобки при необходимости, сократите на общий делитель при необходимости

Приложения:

Аноним: а чм ті пользуешся ??? скин пожалуйста сіллку на єтот сайт
Аноним: пж
Вас заинтересует