• Предмет: Алгебра
  • Автор: noname6769
  • Вопрос задан 2 года назад

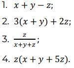
Пусть x+y=5,z=-8 . Найдите значение выражения:

Приложения:

ruslanpodch57: привет я тоже учусь в этой школе ты следал домашку номер 2 если да можешь пожалуйста помочь

Ответы

Ответ дал: 7x8
0

Ответ:

1.\ 13\\\\2.\ -1\\\\3.\ 2\frac{2}{3}\\\\4.\ 280

Объяснение:

1.\\\\x+y-z=5-(-8)=5+8=13\\\\2.\\\\3(x+y)+2z=3\cdot 5+2\cdot(-8)=15-16=-1\\\\3.\\\\\frac{z}{x+y+z}=\frac{-8}{5+(-8)}=\frac{-8}{-3}=2\frac{2}{3}\\\\4.\\\\z(x+y+5z)=-8\cdot (5+5\cdot(-8)))=-8\cdot(5-40)=-8\cdot(-35)=280

Вас заинтересует