• Предмет: Физика
  • Автор: jeneni
  • Вопрос задан 2 года назад

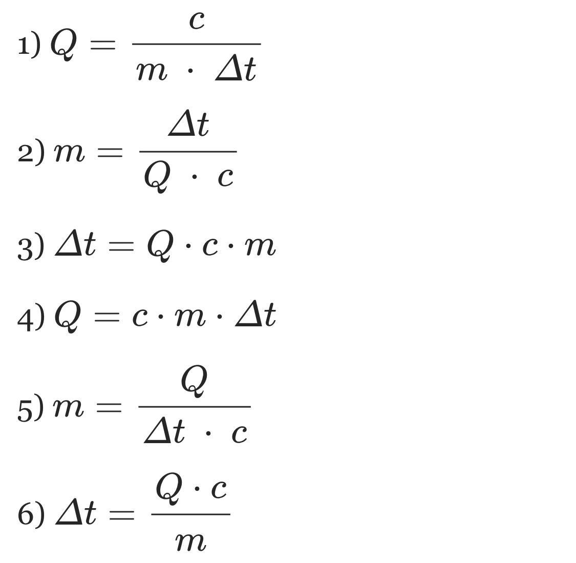
Какие из приведенных формул верные? помогите прошу

Приложения:

Ответы

Ответ дал: 555ai555
0

Ответ:

Объяснение:

верные 4 и 5

причем 5 выводится из 4

Вас заинтересует