• Предмет: Алгебра
  • Автор: Milkkkkkaaaaaaaa
  • Вопрос задан 2 года назад

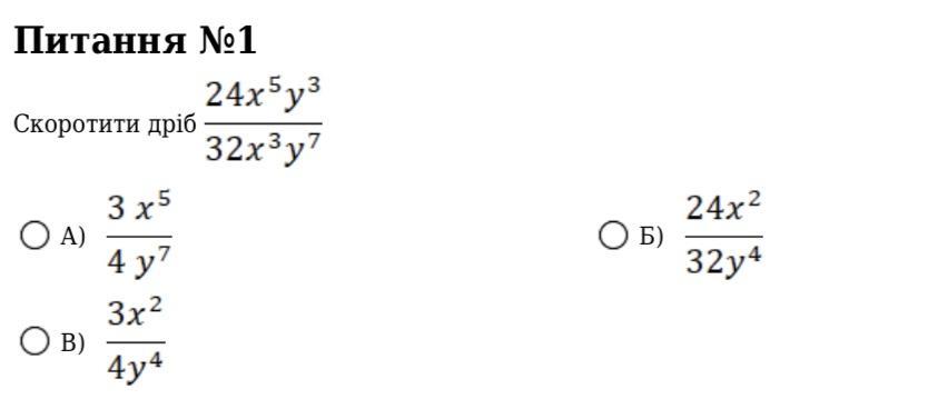
❗️ДАЮ 20Б❗️Скоротити дріб:

На фотографії (обрати букву)

Приложения:

Ответы

Ответ дал: jtursynbai7
0

Ответ:

В) 3х2

4у4

Объяснение:

ахахахаахахххааххахаахха

Вас заинтересует