• Предмет: Физика
  • Автор: bahay
  • Вопрос задан 11 лет назад

Какова электрическая мощность атомной электростанции, расходующей в сутки 220 г изотопа урана 235U92 и имеющей КПД 25% ?

Ответы

Ответ дал: maha24
0

нуу как бы так))))))))))))))))))))

Приложения:
Ответ дал: Mizuno
0

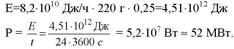
Может изотопа урана 23592U?

Тогда:

Энергия, которая освобождается в реакторе при сжигании 220 г изотопа при выходе энергии в 25%, равна:

Е=8,2*10^10 Дж/ч*200г*0,25=4,51*10^12Дж

Р=E/t=4,51*10^12Дж/24*3600с=5,2*10^7Вт=52МВт

Приложения:
Вас заинтересует