Ответы
Ответ дал:
0
Ответ:
чел загуглм
Объяснение:
............
Ответ дал:
1
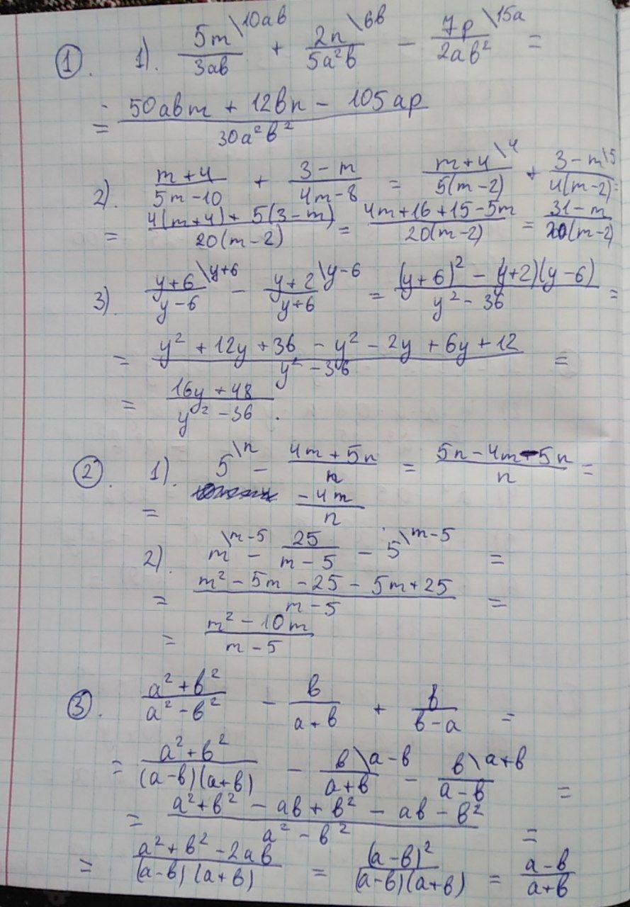
Відповідь:
Все є на фото
Пояснення:
Зробив за допомогою приведення к спільному знаменнику та формул скороченного множення.
Приложения:

Fernid:
Велике дякую!!!!
Вас заинтересует
1 год назад
1 год назад
1 год назад
2 года назад
2 года назад
8 лет назад