Ответы
Ответ дал:
1
Відповідь:
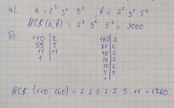
а) 9000
б) 1760
в) 360
Покрокове пояснення:
Все є на фото. Сподіваюсь, зрозуміло
Приложения:


Ответ дал:
0
Пошаговое объяснение:
а) НСК(а;b)=2*2*2*5*5=900
б) НСК(110; 160) = 2*5 = 10
110=2*5*11; 160=2*2*2*2*2*5
в) НСК(10; 12) = 60
Число, яке кратне 60 і при цьому знаходиться між числами 300 і 400 - це 360. Отже, кавунів привезли 360.
berezhnoyvladimir98:
Вибач, а як НСК може бути менше, ніж числа, з яких воно знаходиться? НСК(110; 160) = 2*5 = 10?
Вас заинтересует
1 год назад
1 год назад
2 года назад
2 года назад
8 лет назад