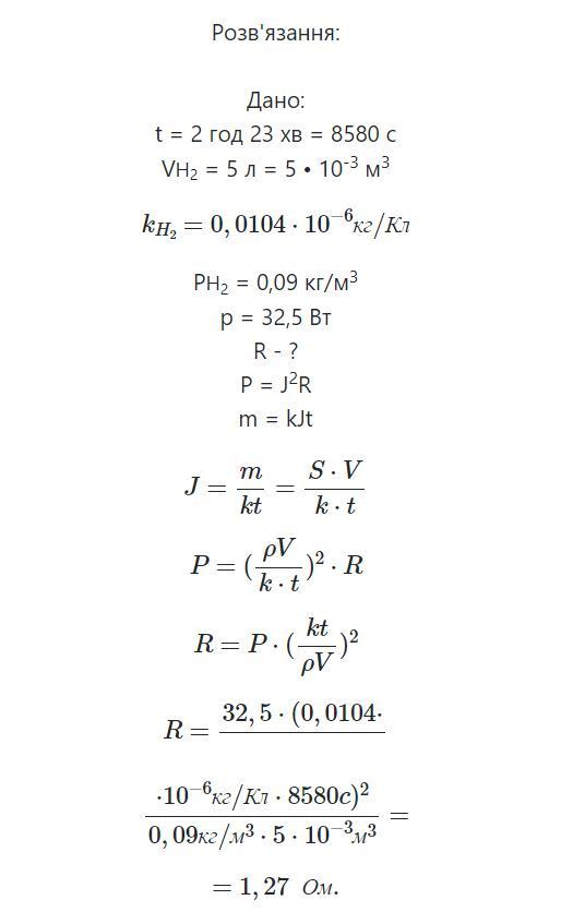
Під час електролізу розчину сірчаної кислоти за 2 год 23 хв виділяється 5 л водню за нормальних умов. Визначте опір розчину, якщо потужність струму дорівнює 32,5 Вт
Ответы
Ответ дал:
2
Відповідь: 1,27 Ом
Розв'язок на фото
Приложения:
Вас заинтересует
2 года назад
2 года назад
2 года назад
2 года назад
3 года назад
3 года назад
9 лет назад
9 лет назад