• Предмет: Алгебра
  • Автор: dyr4man
  • Вопрос задан 2 года назад

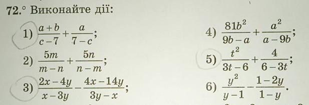
Виконайте дії на фото тільки 1) 3) 5)
{15} БАЛІВ ДАЮ

Приложения:

Ответы

Ответ дал: ultradwalin
1

Відповідь: 1) \frac{b}{c-7} ; 3) 6 ; 5) \frac{t+2}{3}

Пояснення:

1)\frac{a+b}{c-7} +\frac{a}{7-c} =\frac{a+b}{c-7} -\frac{a}{c-7} =\frac{a+b-a}{c-7} =\frac{b}{c-7} \\3)\frac{2x-4y}{x-3y} -\frac{4x-14y}{3y-x} =\frac{2x-4y}{x-3y} +\frac{4x-14y}{x-3y}=\frac{2x-4y+4x-14y}{x-3y}=\frac{6x-18y}{x-3y}=\frac{6(x-3y)}{x-3y} =6\\5)\frac{t^{2} }{3t-6} +\frac{4}{6-3t} =\frac{t^{2} }{3t-6} -\frac{4}{3t-6} =\frac{t^{2}-4 }{3t-6} =\frac{(t-2)(t+2)}{3(t-2)} =\frac{t+2}{3}

Вас заинтересует