• Предмет: Математика
  • Автор: sinsobakioooaaa
  • Вопрос задан 2 года назад

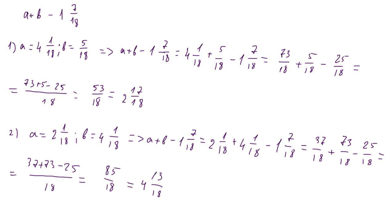
Нужна помощь вычислить a+b-1 7\18
Если а=4 1/18 и b=5/18
a=2 1/18 I b=4 1/18

Ответы

Ответ дал: Warlock1
1

Ответ:

2 17/18; 4 13/18

Пошаговое объяснение:

Приложения:
Вас заинтересует