Скороти дріб.
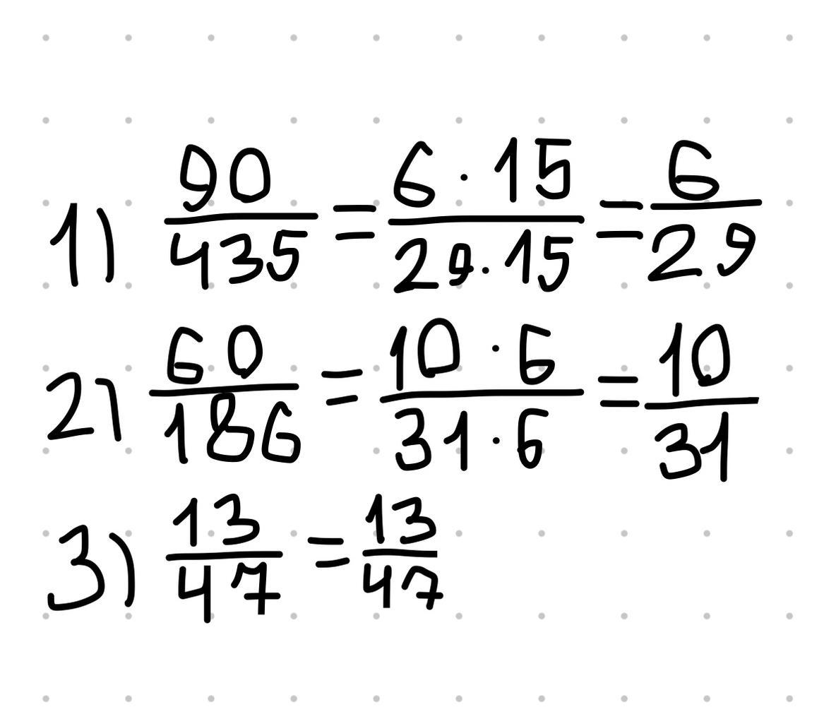
1.90/435=
2.60/186=
3.13/47=
Помогите пожалуйста
Желательно чтобы было прописано:_)
Ответы
Ответ дал:
0
ЩДАКЛИУШПКЛОАЛКООКОЕЛПЕТКОПЛЛПКОКЛЛМЛПТКЛПЛЕОЕ
Приложения:

Вас заинтересует
1 год назад
1 год назад
2 года назад
8 лет назад