Ответы
Ответ дал:
1
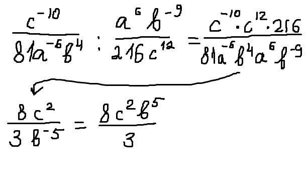
Ответ: на картинке. В начале раскрыты скобки
Приложения:

Вас заинтересует
1 год назад
1 год назад
1 год назад
2 года назад
8 лет назад
8 лет назад