• Предмет: Физика
  • Автор: killllllopoop
  • Вопрос задан 1 год назад

3 решите пж
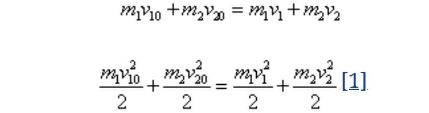
...................

Приложения:

Ответы

Ответ дал: ivanenkoeleonora18
0

Ответ:

жауап::1 m¹

надеюсь правельно)))

Приложения:
Вас заинтересует