• Предмет: Математика
  • Автор: Kirill29191
  • Вопрос задан 2 года назад

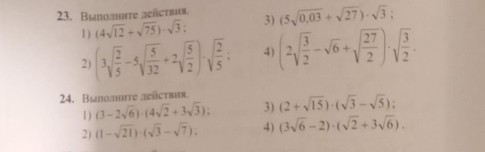
Помогите решить эти задания пожалуйста

Приложения:

Ответы

Ответ дал: daddygustaw
0

Ответ:

23.

1)39                 3)21/2

2)39/20          4)9/2

24 хезе

Пошаговое объяснение:

Вас заинтересует