• Предмет: Алгебра
  • Автор: dabstep857
  • Вопрос задан 2 года назад

помогите пожалуйста ​

Приложения:

Ответы

Ответ дал: berezhnoyvladimir98
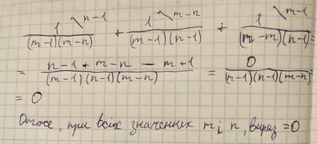
1

Відповідь:

Все на фото

Пояснення:

Тут все просто, приводим к общему знаменателю (в 3 дроби n - m превращаем в -(n - m)). После чего все отлично сокращается и в числителе выходит 0. Значит, доказано, что выражение равно 0

Приложения:

dabstep857: спасибо!!
Вас заинтересует