• Предмет: Алгебра
  • Автор: Vovo23
  • Вопрос задан 10 лет назад

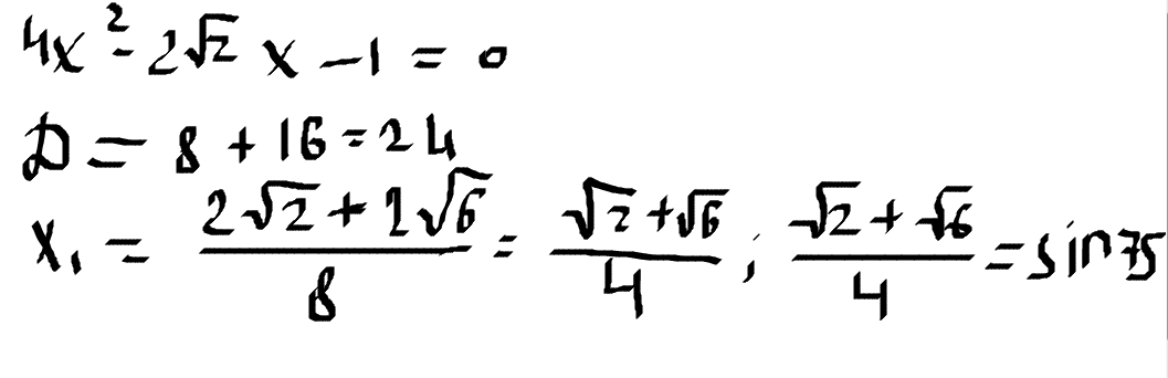
докажите,что число sin75 есть одно из решений уравнения 4x²-2√2x-1=0

Ответы

Ответ дал: Аноним
0
...........................................
Приложения:
Вас заинтересует